Miehen sydän kuormittuu pystyasennossa
Sydän- ja verisuonitaudit ovat yleisin kuolinsyy maailmassa ja tämän vuoksi aktiivisen tutkimuksen kohde.1 Etenkin ennen keski-ikää sairastavuus ja kuolleisuus sydän- ja verisuonitauteihin on suurempaa miehillä kuin naisilla.2,3 Myös sydän- ja verisuonitautien tyypillisissä ilmenemismuodoissa on selkeitä eroja sukupuolten välillä.4,5,6 Ennen keski-ikää miehillä on todettu naisia enemmän häiriöitä verisuonten endoteelin toiminnassa ja merkittävämpää suurten valtimoiden jäykistymistä.7,8 Verenpaine on miehillä naisia korkeampi etenkin nuorella iällä, mutta keski-iän jälkeen verenpaine tyypillisesti kohoaa naisilla miehiä voimakkaammin.9 Hormonaalisten erojen miesten ja naisten välillä on arveltu vaikuttavan erilaiseen sydän- ja verisuonitautisairastavuuteen,10 mutta kokonaisvaltainen ymmärrys sukupuolten välisten sairastavuuserojen taustatekijöistä on edelleen puutteellinen.
Huolimatta selkeistä sukupuolten välisistä eroista sydän- ja verisuonitautien insidenssissä ja prevalenssissa, on näitä tauteja, esimerkiksi kohonnutta verenpainetta, tyypillisesti hoidettu samalla tavalla sekä miehillä että naisilla. Tutkimuksia sukupuolten välisistä eroista verenkiertoelimistön säätelyssä on julkaistu yllättävän vähän. Vaikka pystyasento on ihmiselle luonteenomainen, ovat pystyasennon hemodynamiikkaa kartoittavat tutkimukset harvalukuisia ja aineistoltaan pieniä ja niiden tutkimustulokset ovat olleet keskenään ristiriitaisia.11-13 Nyt esiteltävässä tutkimuksessa tarkastelimme sukupuolten välisiä hemodynamiikan eroja makuuasennossa ja pystyasennossa.14
Aineisto ja menetelmät
Tutkimuksemme toteutettiin osana vuonna 2006 Tampereen yliopistossa alkanutta hemodynamiikan tutkimushanketta (DYNAMIC). Tutkimuspotilaita rekrytoitiin Pirkanmaan alueen työterveyshuolloista ja erikoissairaanhoidosta sekä lehti-ilmoituksien avulla. Tutkittavien sairaushistoria, lääkitys ja elämäntavat kartoitettiin, ja heidän sydän- ja verisuonistatuksensa arvioitiin kliinisesti. Alkujaan 878 tutkitun joukosta karsittiin henkilöt, joilla oli diagnosoitu sydän- ja verisuonitauti tai diabetes. Tutkimukseen valituilla henkilöillä ei ollut käytössä verenpainelääkitystä tai muuta suoraan hemodynamiikkaan vaikuttavaa lääkitystä (kuten beetasympatomimeettejä, beetasalpaajia silmätippoina, alfasalpaajia eturauhasvaivoihin tai digoksiinia). Koska iän ja painon on todettu vaikuttavan hemodynamiikkaan,15-17 haettiin miehistä ja naisista iältään ja painoindeksiltään vastaavat 167 paria. Tutkimuksen pääaineisto käsitti 334 iältään 21–67-vuotiasta henkilöä.14
Verenkiertoelimistön toimintaa rekisteröitiin makuulla viiden minuutin ajan, jonka jälkeen tutkittavat nostettiin >60° pystyasentoon (passivinen tilt-testi) viiden minuutin ajaksi. Analyyseissä käytettiin kummankin asennon kolmen viimeisen mittausminuutin tuloksia. Mittausmenetelminä käytettiin tonometristä rannepaineen mittausta ja koko kehon impedanssikardiografiaa. Menetelmien toistettavuus ja luotettavuus on osoitettu aiemmin.18 Sydämen autonomista tonusta arvioitiin sykevälivaihteluanalyysin avulla soveltaen taajuusperusteista menetelmää.
Tilastollisina menetelminä käytettiin toistomittausten ANOVA:aa, riippumattoman otoksen t-testiä ja Pearsonin Qhi2-testiä. Tulokset vakioitiin tupakoinnilla, alkoholin käytöllä, glukoosin, triglyseridien, LDL- ja HDL-kolesterolien paastoarvoilla, pituudella ja makuuasennon keskiverenpaineella. Sykevälivaihtelun tulokset vakioitiin myös mittauksen aikaisella keskisyketasolla. Sydämen iskutilavuutta ja minuuttitilavuutta sekä vasemman kammion työtä ja ääreisverenkierron vastusta arvioitiin indeksimuuttujien avulla, joissa henkilön kehon pinta-ala otettiin huomioon muuttujan kaavassa.
Tulokset
Keskimääräisen iän ja painoindeksin lisäksi tupakoinnissa, kokonaiskolesterolissa tai vasemman kammion massaa kuvaavassa Cornellin volttitulossa ei ollut eroja miesten ja naisten välillä. Miehet olivat naisia pidempiä ja painavampia, heidän alkoholinkulutuksensa oli suurempaa, paastoglukoosin, LDL-kole-sterolin ja triglyseridien arvot olivat korkeampia, ja HDL-kolesterolin arvo naisia matalampi. Myös kreatiniini ja kystatiini-C olivat miehillä naisia korkeampia, mutta estimoitu munuaiskerästen suodosnopeus ei eronnut sukupuolten välillä.
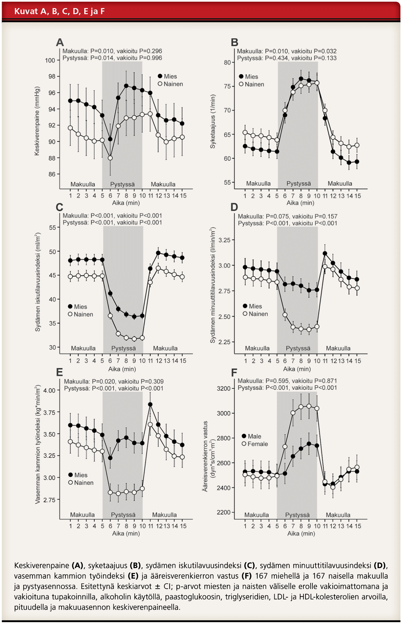
Makuuasennon hemodynamiikan mittauksissa miehillä oli korkeampi keskiverenpaine, sydämen iskutilavuusindeksi ja vasemman kammion työindeksi sekä matalampi syke kuin naisilla (Kuvat A–C ja E). Sydämen minuuttitilavuusindeksi tai ääreisverenkierron vastus eivät eronneet sukupuolten välillä. Kun tulokset vakioitiin edellä mainituilla tekijöillä, vain ero syketasossa ja iskutilavuusindeksissä miesten ja naisten välillä säilyi tilastollisesti merkitsevänä (Kuvat B ja C).
Pystyasennon hemodynamiikan mittauksissa miehillä oli naisia korkeampi keskiverenpaine, iskutilavuus, minuuttitilavuus, vasemman kammion työindeksi (Kuvat A, C, D ja E) ja matalampi ääreisverenkierron vastus (Kuva F). Kun tulokset vakioitiin, keskiverenpainetta lukuun ottamatta kaikki miesten ja naisten väliset erot säilyivät tilastollisesti merkitsevinä.
Miesten ja naisten hemodynamisten erojen selvittämiseksi tehtiin kolme lisäanalyysiä, joissa olivat mukana: 1) vain ne henkilöt, joilla ei ollut käytössään statiineja, hormonikorvaushoitoa tai ehkäisypillereitä, N=285; 2) vain ≥ 55-vuotiaat henkilöt, joilla ei ollut käytössä hormonikorvaushoitoa, N=76; sekä 3) kaikki tutkimukseen rekrytoidut 878 henkilöä, joista monilla oli sydän- ja verisuonitauti, diabetes tai munuaisten vajaatoiminta ja joilla oli myös verenpaine-lääkkeitä käytössään. Kaikkien lisäanalyysien tulokset pystyasennon hemodynamiikkaa koskien olivat hyvin samanlaiset kuin tutkimuksen pääanalyysissä.
Sydämen autonomisen hermoston säätelyä kuvaavissa sykevälivaihteluarvoissa miehillä oli sekä makuulla että pystyasennossa naisia matalampi korkean taajuusalueen sykevälivaihtelu (HF power) ja korkeampi matalan ja korkean taajuusalueen sykevälivaihtelun suhde (LF/HF-suhde). Kun tulokset vakioitiin, pystyasennon HF power ei enää sukupuolten välillä eronnut tilastollisesti merkitsevästi (p=0,102). Kokonaissykevälivaihtelussa tai matalan taajuusalueen sykevälivaihtelussa (LF power) ei sukupuolten välillä ollut eroa.
Pohdinta
Tässä miesten ja naisten hemodynaamisia eroja käsittelevässä tutkimuksessa tärkein löydös oli, että miehillä ja naisilla oli toisistaan selvästi poikkeava tapa ylläpitää verenpainetta pystyasennossa: miehillä pystyasento kuormittaa enemmän sydämen pumppaustyötä, kun taas naisilla ääreisverenkierron vastus pystyasennossa nousee enemmän. Nämä sukupuolierot säilyivät selvinä, vaikka tulokset vakioitiin yleisimmillä tunnetuilla sydän- ja verisuonitautien riskitekijöillä.
Miesten ja naisten välisten hemodynamiikan erojen taustalla olevat mekanismit eivät ole selvillä. Tutkimuksessa havaituilla eroilla sydämen autonomisen tonuksen säätelyssä voi olla merkitystä. Naissukupuolihormoneilla ei näyttäisi olevan todettuihin hemodynamiikan eroihin suurta vaikutusta, sillä tulokset olivat hyvin samanlaisia myös vanhemmassa, iältään postmenopausaalisessa tutkimusjoukossa, jossa naisilla ei ollut hormonikorvaushoitoja käytössä. Mahdollista on, että miessukupuolihormoneilla on merkitystä miesten ja naisten erilaisessa verenkiertoelimistön säätelyssä ja aihealue kaipaa lisätutkimuksia.

-
Naisten ja miesten verenkiertoelimistön säätely eroaa siten, että pystyasennossa miesten sydänkuormitus näyttäisi olevan naisia suurempi. Erot tunnetuissa sydän- ja verisuonitautien riskitekijöissä tai premenopausaalisessa hormonaalisessa statuksessa eivät selitä tuloksia. Todetut pystyasennon hemodynamiikan erot voivat osaltaan selittää miesten ja naisten erilaista sydän- ja verisuonitautien sairastavuutta. Aiemmin sukupuolten välisiä hemodynamiikan eroja ei ole vastaavasti tutkittu, ja tämän tutkimuksen tulokset tuovat uutta tietoa miesten ja naisten verenkiertoelimistön toiminnasta. Tutkimustulokset viittaavat siihen, että jatkossa miesten ja naisten kohonneen verenpaineen lääkehoitoa tulee pohtia aiempaa yksilöllisemmin.
-
Sidonnaisuudet: Ei sidonnaisuuksia.
-
1. Laslett LJ, Alagona P Jr, Clark BA 3rd, Drozda JP Jr, Saldivar F, Wilson SR, Poe C and Hart M. The worldwide environment of cardiovascular disease: prevalence, diagnosis, therapy, and policy issues: a report from the American College of Cardiology. J Am Coll Cardiol 2012;60:S1-49. 2. Kannel WB and Wilson PW. Risk factors that attenuate the female coronary disease advantage. Archives of internal medicine 1995;155:57-61. 3. Mozaffarian D, Benjamin EJ, Go AS, Arnett DK, Blaha MJ, Cushman M, Das SR, de Ferranti S, Despres JP, Fullerton HJ, Howard VJ, Huffman MD, Isasi CR, Jimenez MC, Judd SE, Kissela BM, Lichtman JH, Lisabeth LD, Liu S, Mackey RH, Magid DJ, McGuire DK, Mohler ER, 3rd, Moy CS, Muntner P, Mussolino ME, Nasir K, Neumar RW, Nichol G, Palaniappan L, Pandey DK, Reeves MJ, Rodriguez CJ, Rosamond W, Sorlie PD, Stein J, Towfighi A, Turan TN, Virani SS, Woo D, Yeh RW and Turner MB. Heart Disease and Stroke Statistics – 2016 Update: A Report From the American Heart Association. Circulation 2016;133:e38-360. 4. Bogle BM, Ning H, Mehrotra S, Goldberger JJ and Lloyd-Jones DM. Lifetime Risk for Sudden Cardiac Death in the Community. Journal of the American Heart Association 2016;5. 5. Gehrie ER, Reynolds HR, Chen AY, Neelon BH, Roe MT, Gibler WB, Ohman EM, Newby LK, Peterson ED and Hochman JS. Characterization and outcomes of women and men with non-ST-segment elevation myocardial infarction and nonobstructive coronary artery disease: results from the Can Rapid Risk Stratification of Unstable Angina Patients Suppress Adverse Outcomes with Early Implementation of the ACC/AHA Guidelines (CRUSADE) quality improvement initiative. American heart journal 2009;158:688-694. 6. Yahagi K, Davis HR, Arbustini E and Virmani R. Sex differences in coronary artery disease: Pathological observations. Atherosclerosis 2015;239:260-267. 7. Mitchell GF, Parise H, Benjamin EJ, Larson MG, Keyes MJ, Vita JA, Vasan RS and Levy D. Changes in arterial stiffness and wave reflection with advancing age in healthy men and women: the Framingham Heart Study. Hypertension 2004;43:1239-1245. 8. Merz AA and Cheng S. Sex differences in cardiovascular ageing. Heart (British Cardiac Society) 2016. 9. Wenner MM and Stachenfeld NS. Blood pressure and water regulation: understanding sex hormone effects within and between men and women. J Physiol 2012;590:5949-5961. 10. Jousilahti P, Vartiainen E, Tuomilehto J and Puska P. Sex, age, cardiovascular risk factors, and coronary heart disease: a prospective follow-up study of 14 786 middle-aged men and women in Finland. Circulation 1999;99:1165-1172. 11. Shoemaker JK, Hogeman CS, Khan M, Kimmerly DS and Sinoway LI. Gender affects sympathetic and hemodynamic response to postural stress. American journal of physiology Heart and circulatory physiology 2001;281:H2028-2035. 12. Barnett SR, Morin RJ, Kiely DK, Gagnon M, Azhar G, Knight EL, Nelson JC and Lipsitz LA. Effects of age and gender on autonomic control of blood pressure dynamics. Hypertension 1999;33:1195-1200. 13. Jarvis SS, Florian JP, Curren MJ and Pawelczyk JA. Sex differences in vasoconstrictor reserve during 70 deg head-up tilt. Experimental physiology. 2010;95:184-193. 14. Kangas P, Tahvanainen A, Tikkakoski A, Koskela J, Uitto M, Viik J, Kähönen M, Kööbi T, Mustonen J and Pörsti I. Increased Cardiac Workload in the Upright Posture in Men: Noninvasive Hemodynamics in Men Versus Women. Journal of the American Heart Association 2016;5:e002883. 15. Tahvanainen A, Leskinen M, Koskela J, Ilveskoski E, Nordhausen K, Oja H, Kähönen M, Kööbi T, Mustonen J and Pörsti I. Ageing and cardiovascular responses to head-up tilt in healthy subjects. Atherosclerosis 2009;207:445-451. 16. Recio-Rodriguez JI, Gomez-Marcos MA, Patino-Alonso MC, Agudo-Conde C, Rodriguez-Sanchez E, Garcia-Ortiz L and Vg VG. Abdominal obesity vs general obesity for identifying arterial stiffness, subclinical atherosclerosis and wave reflection in healthy, diabetics and hypertensive. BMC cardiovascular disorders 2012;12:3. 17. Safar ME, Czernichow S and Blacher J. Obesity, arterial stiffness, and cardiovascular risk. Journal of the American Society of Nephrology: JASN 2006;17:S109-111. 18. Tahvanainen A, Koskela J, Tikkakoski A, Lahtela J, Leskinen M, Kähönen M, Nieminen T, Kööbi T, Mustonen J and Pörsti I. Analysis of cardiovascular responses to passive head-up tilt using continuous pulse wave analysis and impedance cardiography. Scandinavian journal of clinical and laboratory investigation 2009;69:128-137.